Omezený provoz 21.–22. 5.
Vážení zákazníci, z provozních důvodů bude náš e-shop ve dnech 21. a 22. května nedostupný. Od 23. května jsme opět plně k dispozici. Děkujeme za pochopení.
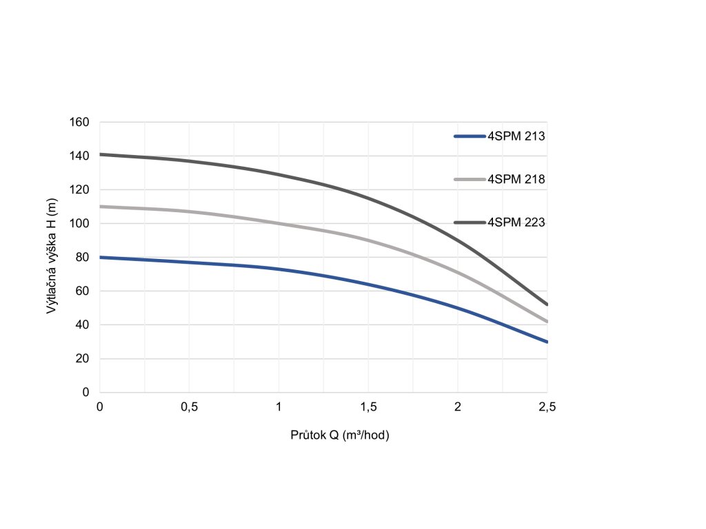
PUMPA blue line 4SPM 213 0,55kW 230V, ponorné nerezové čerpadlo, kabel 30m, spínací skříň ZB00061472
Kód: 51500Detailní popis produktu
Použití
- Čerpání čisté vody z vrtu a studny (s chladícím pláštěm)
- Zavlažování, zásobování domácností
- Čerpadlo může být použito jak samostatně, tak i s tlakovou nádobou jako domácí vodárna
Doplňkové parametry
| Kategorie: | Zásobování vodou |
|---|---|
| Záruka: | 24 |
| Hmotnost: | 15 kg |
| EAN: | 8596455020820 |
| Maximální průtok (l/min): | 45 |
| Maximální výtlak (m): | 80 |
| Vstupní napětí (V): | 230 |
| Jmenovitý výkon motoru - P2 (kW): | 0,55 |
| Jmenovitý průtok (l/m): | 29 |
| Jmenovitý výtlak (m): | 52 |
| Výtlačné hrdlo ("): | 5/4 |
| Výtlačné hrdlo - typ: | INSIDE |
| Průměr čerpadla ("): | 4 |
| Hloubka ponoru max. (m): | 40 |
| Atest na pitnou vodu: | NE |
| Plovák: | NE |
| Jmenovitý proud (A): | 4,80 |
| Teplota média max. (°C): | 35 |
| Délka kabelu (m): | 30 |
| Průchodnost oběžným kolem (mm): | 0,20 |
| Stupeň krytí (IP): | 68 |
| Automatická tepelná ochrana: | ANO |
| Ochrana proti chodu nasucho: | NE |
| Vlastní vypínač: | ANO |
| Regulace otáček: | NE |
| Kondenzátor: | externí |
| Vnější průměr max. (mm): | 98 |
| Oběžné kolo materiál: | nerez |
| Konstrukce: | odstředivá |
| Zpětná klapka: | ANO |
| Výrobce: | PUMPA |
| EAN: | 8596455020820 |
| Recyklační poplatek: | 39 Kč |
Diskuze
Buďte první, kdo napíše příspěvek k této položce.
